Закон бутерброда vs Закон падающей кошки, электрогенератор в домашних условиях

Страницы: 1 2  ОТВЕТИТЬ НОВАЯ ТЕМА
Lydoed 9 мая 2012 в 14:56
Балагур  •  На сайте 14 лет
1
это гениально.... человечество спасено от энергетического кризиса...самое гениальное изобретение после скотча....
Пипеткин 9 мая 2012 в 15:15
Поехавший  •  На сайте 15 лет
1
Говно все эти ваши энергетические напитки
All73 9 мая 2012 в 15:29
Весельчак  •  На сайте 15 лет
1
баян не боян...
но спасибо ssensey , по одной из ссылок прочитал :
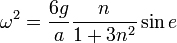
согласно работам физика Роберта Мэттьюза из университета Эстона (Англия), который получил в 1996 году Шнобелевскую премию за работу «Падающий бутерброд, закон Мэрфи и мировые постоянные», посвящённую тщательному исследованию закона Мерфи и особенно проверке его следствия, выяснилось что: бутерброд чаще падает на землю маслом вниз, в доказательство чему он вывел формулу для обоснования своих доводов.
, где
ω = W — угловая скорость вращения, a — половина длины бутерброда, b — критическое нависание, H — высота стола, e — угол отрыва от стола, mg — вес бутерброда, n — параметр переворачивания, n = b/a

А представленная гипотеза о падении бутерброда ни что иное, как "Парадокс кошки с маслом", который не имеет научной силы. Его обосновал В. Ножнов, который заключается в том, что кошка с привязанным бутербродом является составным объектом и поэтому не может являться "кошкой" в первом правиле или "бутербродом" из второго правила. Т.е. правила "бутерброда" или "кошки" определены только для отдельных элементов типа "кошка" или "бутерброд". В противном случае, железнодорожный рельс или грузовик с привязанным бутербродом должен был бы упасть маслом вниз.
Спасибо, поржал biggrin.gif

Закон бутерброда vs Закон падающей кошки

Это сообщение отредактировал All73 - 9 мая 2012 в 15:30
ZonD9 9 мая 2012 в 16:23
в активном поиске  •  На сайте 16 лет
1
Ну ладно, я это сделаю

Закон бутерброда vs Закон падающей кошки
satmaster 9 мая 2012 в 16:56
Весельчак  •  На сайте 15 лет
1
Отличный ролик!
Из наших нравиться реклама редбула.
Почему иногда делают такую хрень как новая реклама МТС - "послушай зачем тебе чужие гудки ты от них так устала", когда слышу готов тапком кинуть в телевизор.
Fedorin 9 мая 2012 в 16:58
Ярила  •  На сайте 16 лет
1
Ещё по теме:

И немного безумной немецкой жести )) (надеюсь, за немецкий сегодня простите)
Scorpion69 9 мая 2012 в 18:44
Весельчак  •  На сайте 14 лет
1
У меня дома две кошки, можно подробнее описать устройство, которое вырабатывает энергию, больно понравился приборчик.
XoxloHouse 9 мая 2012 в 19:00
Колерованный Дегенерат  •  На сайте 15 лет
2
Цитата (Scorpion69 @ 9.05.2012 - 18:44)
У меня дома две кошки, можно подробнее описать устройство, которое вырабатывает энергию, больно понравился приборчик.

Ну, в твоём случае можно и без бутерброда попробовать.
Но здесь надо провести серьёзные вычисления о КПД и способах инсталляции прибора.

Закон бутерброда vs Закон падающей кошки
llnar 9 мая 2012 в 19:15
Шутник  •  На сайте 15 лет
1
поржал
rpu6oeDoff 9 мая 2012 в 19:20
Приколист  •  На сайте 14 лет
1
я тупо ржал
Kotofeich7 9 мая 2012 в 20:08
Ярила  •  На сайте 14 лет
1
Проще было бы сцепить 2 бутерброда вместе. tongue.gif
xzmsss 9 мая 2012 в 20:39
Шутник  •  На сайте 14 лет
1
а что за песня начинается в конце??

LuckyRussia 9 мая 2012 в 21:48
Шутник  •  На сайте 14 лет
1
а не проще тупо намазать бутерброд маслом с обеих сторон?
boobies 9 мая 2012 в 23:28
Приколист  •  На сайте 14 лет
1
если бы столы были где-то в половину выше обычного, бутерброт падал бы не маслом вниз. доказано.
Если кота уронить с высоты меньшей длины его лап, он тоже не успеет перевернуться. даказано.
crush33 9 мая 2012 в 23:47
Шутник  •  На сайте 14 лет
1
разум человека ни когда не иссякнет, очень прикольно, если б подобные принципы работали в реальной жизни, думаю она была куда проще.
Max85 11 мая 2012 в 23:55
Шутник  •  На сайте 13 лет
-1
gigi.gif gigi.gif gigi.gif gigi.gif gigi.gif

Это сообщение отредактировал Max85 - 11 мая 2012 в 23:56
Понравился пост? Ещё больше интересного в ЯП-Телеграм и ЯП-Max!
Только зарегистрированные и авторизованные пользователи могут оставлять комментарии. Авторизуйтесь, пожалуйста, или зарегистрируйтесь, если не зарегистрированы.
1 Пользователей читают эту тему (1 Гостей и 0 Скрытых Пользователей) Просмотры темы: 19 159
0 Пользователей:
Страницы: 1 2  ОТВЕТИТЬ НОВАЯ ТЕМА

 
 

Активные темы



Наверх